Das neue Naschen
SO VIEL MEHR ALS ZERO
Wir haben Zucker großteils durch pflanzliche ballaststoffe ersetzt.
100% Geschmack

Keeps blood sugar lower*

High Fibre

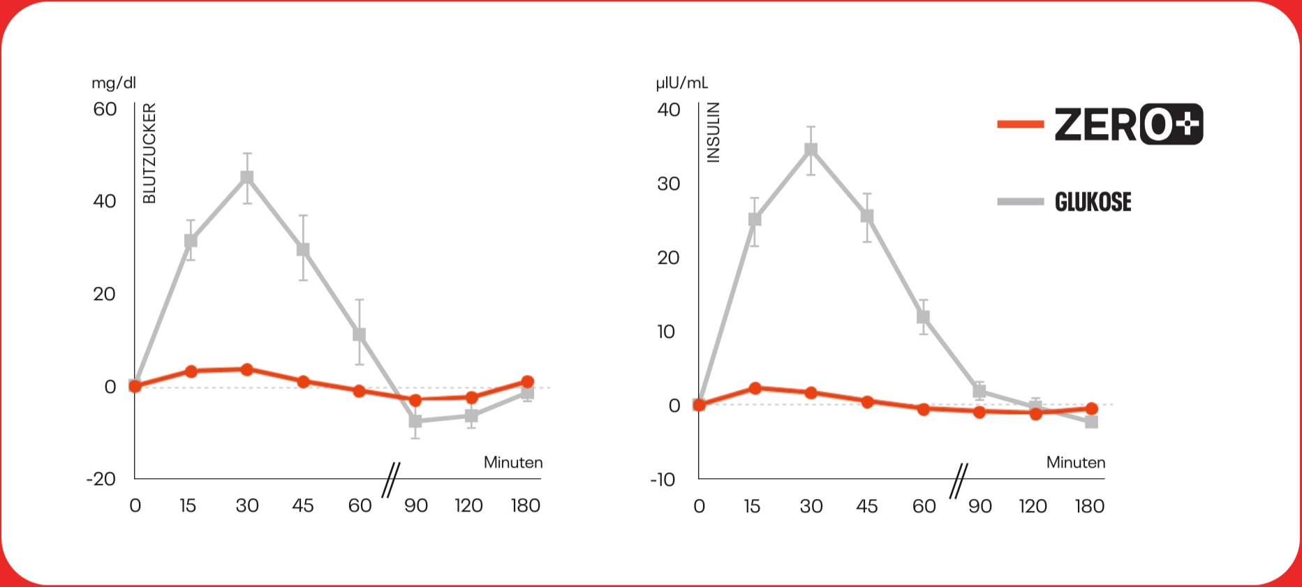
Die Wahrheit liegt in der Blutzuckerkurve
Wir vergessen oft, dass viele "kurze" Kohlenhydrate genauso schnell im Blut als Glukose auftauchen wie Zucker selbst. Wir haben 12 Jahre intensiv geforscht, um die Auswirkung auf den Blutzucker so gering wie möglich zu halten und das ohne Kompromiss am Geschmack. Mittlerweile wurde dies durch eine Studie der Medizinischen Universität Wien (2022) bestätigt.

Die MedUni Wien führte 2022 eine Studie zur Veränderung des Blutzuckerspiegels nach der Einnahme von ZERO+ oder Glukose durch. Dabei wurden 30 g ZERO+ (rot) bzw. 30 g Glukose (grau) in 200 mL Leitungswasser gelöst und über einen Zeitraum von 180 Minuten nach der Verabreichung gemessen.
Die Ergebnisse zeigen, dass ZERO+ deutlich geringere Schwankungen des Blutzuckerspiegels verursacht als Glukose. Aufgrund dieser minimalen Schwankungen konnten keine Fehlerbalken dargestellt werden. Die Daten sind als Mittelwert und Standardfehler des Mittelwerts angegeben.
Die Studie wurde im Nature Journal veröffentlicht.
*ZERO+ ist der Zuckerersatz, der in den NEOH-Produkten verwendet wird.
DAS NEUE NASCHEN IST DA!
Wir haben 100 % des zugesetzten Zuckers mit ZERO+ ersetzt. ZERO+ wurde mehr als 15 Jahre perfektioniert, wissenschaftlich geprüft und besteht zu über 90 % aus pflanzlichen Ballaststoffen – unter anderem aus Agave, Chicorée, Mais und Weizen. Man vergisst oft, wie hoch der Anteil an zugesetztem Zucker bei herkömmlichen Süßwaren ist. Darum hier ein kurzer Vergleich:
VS

NEOH Schokowaffel
Pro Portion (22g)
Zero
Zucker Zugesetzt
3g
Netcarbs
7g
Ballaststoffe

herkömmliche Schokowaffel
Pro Portion (22g)
9.4g
Zucker Zugesetzt
12g
Netcarbs
-
Ballaststoffe
Noch nicht Überzeugt?
Hör auf unsere Kundenstimmen